最新资讯

  • 计算机毕业设计springboot食堂食材管理系统 基于SpringBoot的餐饮原材料智能管控平台 SpringBoot框架下的食堂供应链与库存信息化系统

计算机毕业设计springboot食堂食材管理系统 基于SpringBoot的餐饮原材料智能管控平台 SpringBoot框架下的食堂供应链与库存信息化系统

2026-02-08 12:52:35 栏目:最新资讯 8 阅读

计算机毕业设计springboot食堂食材管理系统906k1r0g (配套有源码 程序 mysql数据库 论文)
本套源码可以在文本联xi,先看具体系统功能演示视频领取,可分享源码参考。

随着社会对食品安全与营养健康关注度的持续提升,食堂作为学校、企业等机构提供日常饮食服务的核心场所,其食材管理的规范化与智能化已成为运营管理的关键环节。传统的人工记录、盘点和采购模式不仅效率低下,还容易出现库存积压、食材过期浪费等问题,难以满足现代食堂精细化运营的需求。因此,构建一套集成化、数字化的食材管理系统,实现从采购源头到终端使用的全流程可追溯管理,具有重要的实践价值。

本文档详细阐述了一套基于SpringBoot框架开发的食堂食材管理系统的设计与实现过程。系统采用Java作为后端开发语言,结合Vue.js前端框架与MySQL数据库,通过B/S架构实现跨平台访问,旨在为食堂管理者与供应商提供高效协同的业务支撑环境。

系统核心功能模块涵盖以下方面:

基础数据管理模块包含供应商信息维护、食材类型分类管理、食材信息档案建立,支持对食材规格、库存数量、进价、存放位置及图片等属性的完整记录。

采购与供应链模块实现食材采购申请、采购审核流程、采购订单跟踪,支持按食材名称、类型等多维度检索,并具备批量操作能力。

仓储物流模块覆盖食材入库登记(含生产日期、保质期记录)、入库支付管理、食材退货处理(含退货原因记录与支付状态跟踪),实现库存动态更新与资金流向管控。

库存使用与损耗模块包括食材领用出库、使用计划制定、食材损耗登记(记录损耗原因与数量),确保库存数据与实际消耗精准匹配。

系统支撑模块提供用户注册登录、个人中心信息管理、用户资料维护、系统配置参数设置等基础服务,保障多角色协同操作的权限安全与数据隔离。

数据统计与查询模块支持各业务单据的查看、修改、删除操作,提供按时间、状态、关键词等条件的复合检索功能,以及批量处理与支付状态筛选等便捷操作。

该系统通过整合食材流通全链条的业务环节,实现了采购透明化、库存可视化、使用规范化、损耗可控化的管理目标,为食堂降低运营成本、保障食品安全、提升服务效率提供了可落地的技术解决方案。

注:以上是纯课题毕业设计功能介绍,并非实际开发完成,最终开发完成的毕业设计程序以下面的的环境软件、功能图和界面为准。

系统所需要的环境软件:idea、eclipse+mysql5.7、8.0+Navicat+JDK1.8+tomcat7.0

系统功能分析

考虑到实际生活中在食堂食材管理方面的需要以及对该系统认真的分析,将系统权限按进行划分。

管理员登录系统所涉及到的功能主要有供应商、食材信息、食材类型、食材采购、食材入库、食材退货、食材使用、食材损耗、使用计划、用户资料等功能。管理员用例如图3-1所示。

图3-1 管理员用例图

供应商登录系统所涉及到的功能主要有食材信息、食材采购、食材入库、食材退货、用户资料等功能。供应商用例如图3-2所示。

图3-2 供应商用例图

3.4系统流程分析

由于不同的系统实际使用用户角色的不同,他们的业务分析也会变得有所不一样,为了论述方便接下来都将以管理员用户功能权限下的系统业务流程来分析,如下图所展示:

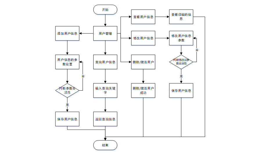
3.4.1 用户管理的流程

图3-3用户管理流程

3.4.2 个人中心管理流程

个人中心管理流程如图3-4所示:

图3-4 个人中心管理流程

3.4.3 登录流程

登录流程如图3-5所示:

图3-5 登录流程

4系统设计

4.1 软件功能模块设计

系统整体功能如下图4-1所示:

图 4-1 系统总体功能模块图

4.2 数据库设计

4.2.1 概念模型设计

概念模型是对现实中的问题出现的事物的进行描述,ER图是由实体线以及关联构成的图,E-R图可以明确地叙述系统中涵盖的实体线相互关系。将“食材信息、管理员、食材入库、食材退货、供应商”等作为实体,它们的局部E-R图,如图4-2所示:

图4-2局部E-R图

5系统详细设计

5.1系统功能模块

在注册流程中,用户在Vue前端填写必要信息(如用户名、密码等)并提交。前端将这些信息通过HTTP请求发送到Java后端。后端处理这些信息,检查用户名是否唯一,并将新用户数据存入MySQL数据库。完成后,后端向前端发送注册成功的确认,前端随后通知用户完成注册。这个过程实现了新用户的数据收集、验证和存储。系统注册页面如图5-1所示:

图5-1系统注册页面

在登录流程中,用户首先在Vue前端界面输入用户名和密码。这些信息通过HTTP请求发送到Java后端。后端接收请求,通过与MySQL数据库交互验证用户凭证。如果认证成功,后端会返回给前端,允许用户访问系统。这个过程涵盖了从用户输入到系统验证和响应的全过程。如图5-2所示。 

图5-2 系统登录界面

5.2管理员功能实现

管理员进入主页面,主要功能包括对供应商、食材信息、食材类型、食材采购、食材入库、食材退货、食材使用、食材损耗、使用计划、用户资料等进行操作。管理员主页面如图5-3所示:

图5-3 管理员主界面

供应商功能在视图层(view层)进行交互,比如点击“搜索、添加信息或批量删除”按钮或填写供应商表单。这些供应商表单动作被视图层捕获并作为请求发送给相应的控制器层(controller层)。控制器接收到这些请求后,调用服务层(service层)以执行相关的业务逻辑,例如验证输入数据的有效性和与数据库的交互。服务层处理完这些逻辑后,进一步与数据访问对象层(DAO层)交互,后者负责具体的数据操作如查看、修改或删除供应商信息,并将操作结果返回给控制器。最终,控制器根据这些结果更新视图层,以便供应商功能可以看到最新的信息或相应的操作反馈。如图5-4所示:

图5-4供应商界面

食材信息功能在视图层(view层)进行交互,比如点击“搜索、添加信息或批量删除”按钮或填写食材信息表单。这些食材信息表单动作被视图层捕获并作为请求发送给相应的控制器层(controller层)。控制器接收到这些请求后,调用服务层(service层)以执行相关的业务逻辑,例如验证输入数据的有效性和与数据库的交互。服务层处理完这些逻辑后,进一步与数据访问对象层(DAO层)交互,后者负责具体的数据操作如查看、采购、使用、损耗、修改或删除食材信息,并将操作结果返回给控制器。最终,控制器根据这些结果更新视图层,以便食材信息功能可以看到最新的信息或相应的操作反馈。如图5-5所示:

图5-5食材信息界面

食材类型;在食材类型页面输入食材类型进行搜索、添加信息或批量删除食材类型列表,并对食材类型详细信息进行修改或删除操作;如图5-6所示:

图5-6食材类型界面

食材采购;在食材采购页面输入食材名称、食材类型、是否通过进行搜索或批量删除食材采购列表,并对食材采购详细信息进行查看、修改或删除操作;如图5-7所示:

图5-7食材采购界面

食材入库;在食材入库页面输入食材名称、食材类型、是否支付进行搜索、批量删除或批量支付食材入库列表,并对食材入库详细信息进行查看、退货或删除操作;如图5-8所示:

图5-8食材入库界面

食材损耗;在食材损耗页面输入食材名称、食材类型进行搜索或批量删除食材损耗列表,并对食材损耗详细信息进行查看、修改或删除操作;如图5-9所示:

图5-9食材损耗界面

5.3供应商功能实现

供应商进入主页面,主要功能包括对食材信息、食材采购、食材入库、食材退货、用户资料等进行操作。供应商主页面如图5-10所示:

图5-10 供应商主界面

食材信息;在食材信息页面输入食材名称、食材类型进行搜索食材信息列表,并对食材信息详细信息进行查看、入库操作;如图5-11所示:

图5-11食材信息界面

食材采购;在食材采购页面输入食材名称、食材类型、是否通过进行搜索、批量删除或审核食材采购列表,并对食材采购详细信息进行查看或删除操作;如图5-12所示:

图5-12食材采购界面

食材退货;在食材退货页面输入食材名称、食材类型、是否支付进行搜索或批量支付食材退货列表,并对食材退货详细信息进行查看操作;如图5-13所示:

图5-13食材退货界面

源码无偿分享,文未领取

本文地址:https://www.yitenyun.com/6857.html

搜索文章

Tags

#飞书 #人工智能 #语言模型 #服务器 #大模型 #ai #ai大模型 #agent #python #pip #conda #AI #log4j #ollama #微信 #运维 #私有化部署 #学习 #产品经理 #AI大模型 #大模型学习 #大模型教程 #AI编程 #github #信息与通信 #自然语言处理 #rpa #实时互动 #飞牛nas #fnos #linux #云计算 #云原生 #远程工作 #kylin #docker #arm #ios面试 #ios弱网 #断点续传 #ios开发 #objective-c #ios #ios缓存 #ssh #Trae #IDE #AI 原生集成开发环境 #Trae AI #mongodb #数据库 #算法 #数据结构 #fastapi #html #css #PyTorch #深度学习 #模型训练 #星图GPU #银河麒麟高级服务器操作系统安装 #银河麒麟高级服务器V11配置 #设置基础软件仓库时出错 #银河麒高级服务器系统的实操教程 #生产级部署银河麒麟服务系统教程 #Linux系统的快速上手教程 #企业微信 #AI办公 #智能助手 #ARM服务器 # GLM-4.6V # 多模态推理 #vscode #ubuntu #gitee 香港站群服务器 多IP服务器 香港站群 站群服务器 #kubernetes #笔记 #平面 #容器 #学习方法 #分布式 #架构 #配置中心 #SpringCloud #Apollo #大数据 #职场和发展 #程序员创富 #AIGC #开源 #mysql #分库分表 #垂直分库 #水平分表 #雪花算法 #分布式ID #跨库查询 #web安全 #安全 #开发语言 #php #网络安全 #就业指南 #llama #opencv #神经网络 #自动化 #ansible #YOLO #java #spring boot #maven #spring #科技 #数学建模 #notepad++ #音视频 #华为云 #部署上线 #动静分离 #Nginx #新人首发 #大语言模型 #长文本处理 #GLM-4 #Triton推理 #ide #前端 #javascript #pytorch #Telegram机器人 #ClawdBot #多模态翻译 #大模型推理 #网络 #tcp/ip #hadoop #hbase #hive #zookeeper #spark #kafka #flink #大模型入门 #流程图 #论文阅读 #信息可视化 #低代码 #爬虫 #springboot #rag #langchain #C++ #Reactor #golang #数据结构与算法 #gemini #gemini国内访问 #gemini api #gemini中转搭建 #Cloudflare #node.js #pycharm #CFD #区块链 #测试用例 #生活 #http #mcp #mcp server #AI实战 #阿里云 #FRP #MobaXterm #微服务 #Oauth2 #Agent #程序员 #sql #agi #物联网 #websocket #SSM 框架 #孕期健康 #产品服务推荐 #推荐系统 #用户交互 #机器学习 #windows #进程控制 #flutter #鸿蒙 #java-ee #harmonyos #华为 #nginx #项目 #高并发 #经验分享 #安卓 #堡垒机 #安恒明御堡垒机 #windterm #aws #fabric #postgresql #openHiTLS #TLCP #DTLCP #密码学 #商用密码算法 #重构 #计算机视觉 #矩阵 #线性代数 #AI运算 #向量 #FaceFusion # Token调度 # 显存优化 #word #umeditor粘贴word #ueditor粘贴word #ueditor复制word #ueditor上传word图片 #RAGFlow #DeepSeek-R1 #RTP over RTSP #RTP over TCP #RTSP服务器 #RTP #TCP发送RTP #多个客户端访问 #IO多路复用 #回显服务器 #TCP相关API #分阶段策略 #模型协议 #开源软件 #能源 #Ansible # 自动化部署 # VibeThinker #Linux #TCP #c++ #线程 #线程池 #iventoy #VmWare #OpenEuler #Windows 更新 #风控模型 #决策盲区 #git #驱动开发 #centos #HCIA-Datacom #H12-811 #题库 #最新题库 #android #腾讯云 #c# #转行 #后端 #毕业设计 #ddos #visual studio #测试工具 #RAG #RAG调优 #RAG系统 #召回 #https #网络协议 #鸿蒙PC #MCP #MCP服务器 #pjsip #qt #vue上传解决方案 #vue断点续传 #vue分片上传下载 #vue分块上传下载 #FL Studio #FLStudio #FL Studio2025 #FL Studio2026 #FL Studio25 #FL Studio26 #水果软件 #正则 #正则表达式 #电脑 #mobaxterm #unity #游戏引擎 #mvp #个人开发 #设计模式 #性能优化 #ai agent #ai大小模型 #小模型 #开源小模型 #8b模型 #国产大模型 #SOTA #dify #Conda # 私有索引 # 包管理 #ci/cd #jenkins #gitlab #数信院生信服务器 #Rstudio #生信入门 #生信云服务器 #程序人生 #科研 #博士 #课程设计 #stm32 #知识图谱 #cpolar #单片机 #嵌入式硬件 #电脑故障 #文件系统 #搜索引擎 #导航网 #进程 #vue.js #论文 #毕设 #缓存 #redis #ecmascript #elementui #swiftui #swift #serverless #scrapy #rocketmq #硬件工程 #le audio #蓝牙 #低功耗音频 #通信 #连接 #servlet #Harbor #microsoft #iBMC #UltraISO #bytebase #DeepSeek #服务器繁忙 #PyCharm # 远程调试 # YOLOFuse #jar #内网穿透 #内存治理 #django #jvm #学习笔记 #jdk #牛客周赛 #超算服务器 #算力 #高性能计算 #仿真分析工作站 #c语言 #链表 #处理器模块 #现货库存 #价格优惠 #PM864AK01 #3BSE018161R1 #PLC #控制器模块 #Canal #文心一言 #AI智能体 #lstm #分类 #360AI图片精简版 #看图工具 #电脑看图工具 #360看图工具 #AI看图工具 #spring cloud #json #lvs #负载均衡 #jetty #散列表 #哈希算法 #企业开发 #ERP #项目实践 #.NET开发 #C#编程 #编程与数学 #ui #团队开发 #墨刀 #figma #udp #mcu #matlab #支持向量机 #OCR #文档识别 #DeepSeek-OCR-2 #信创适配 #Redisson #华为od #华为od机考真题 #华为od机试真题 #华为OD上机考试真题 #华为OD机试双机位C卷 #华为OD上机考试双机位C卷 #华为ODFLASH坏块监测系统 #时序数据库 #jmeter #功能测试 #软件测试 #自动化测试 #gitea #儿童书籍 #儿童诗歌 #童话故事 #经典好书 #儿童文学 #好书推荐 #经典文学作品 #svn #vim #gcc #yum #机器人 #面试 #蓝桥杯 #设备驱动 #芯片资料 #网卡 #uni-app #小程序 #ESXi #ESP32 #开发环境搭建 #ssl #select #vllm #内容运营 #产品运营 #推荐算法 #chrome #ProCAST2025 #ProCast #脱模 #顶出 #应力计算 #铸造仿真 #变形计算 #leetcode #游戏 #shell #CPU利用率 #压枪 #dubbo #FTP服务器 #2026年美赛C题代码 #2026年美赛 #CISSP #CISSP考点 #信息安全 #CISSP哪里考 #公众号:厦门微思网络 #+微信号:xmweisi #开源社区 #国产基础软件 #操作系统 #AI框架 #Rust #计算机网络 #自动化巡检 #java大文件上传 #java大文件秒传 #java大文件上传下载 #java文件传输解决方案 #服务器架构 #AI推理芯片 #es安装 #prometheus #diskinfo # TensorFlow # 磁盘健康 #鸭科夫 #逃离鸭科夫 #鸭科夫联机 #鸭科夫异地联机 #开服 #高仿永硕E盘的个人网盘系统源码 #汽车 #web #webdav #新浪微博 #前端框架 #边缘计算 #go #LangFlow #智能体 #autosar #目标检测 #pyqt #单目测距 #速度估计 #pyqt界面 #注意力机制 #LLM #css3 #线性回归 #嵌入式 #APM #AudioPolicy #音频策略 #系统安全 #防排烟监控 #消防风机一体化 #BA楼宇自控 #DDC控制器 #IBMS集成系统 #numpy #scikit-learn #matplotlib #FutureWarning #程序设计 #计算机毕业设计 #程序定制 #源码 #大作业 #LabVIEW #光谱仪 #串口通信 #AQ6370 #unitask #SSH # ProxyJump # 跳板机 #国企混改 #国企混改咨询 #国企混改战略规划 #GPU #曦望 #pdf #excel #Dell #PowerEdge620 #内存 #硬盘 #RAID5 #系统架构 #xss #selenium #远程连接 #策略模式 #我的世界 #游戏私服 #云服务器 #三种参数 #参数的校验 #fastAPI #虚幻 #ue5 #AI写作 #数列 #数学 #数论 #洛谷 #openclaw #实在Agent #全能视频处理软件 #视频裁剪工具 #视频合并工具 #视频压缩工具 #视频字幕提取 #视频处理工具 #架构师 #软考 #系统架构师 #同步WebServer服务器 #ESP32网页服务器 #轻量级http服务器 #ESP32物联网 #社科数据 #数据分析 #数据挖掘 #数据统计 #经管数据 #Ubuntu服务器 #硬盘扩容 #命令行操作 #VMware #职场发展 #PowerBI #企业 #压力测试 #创业创新 #论文笔记 #深度优先 #DFS #react.js #单元测试 #TRO #TRO侵权 #TRO和解 #wpf #3d #SSE #微信小程序 #b/s架构 #ssm #移动学习平台 #whisper #软件工程 #flask #transformer #计算机 #连锁药店 #连锁店 #防毒口罩 #防尘口罩 #chatgpt #无人机 #安全架构 #ffmpeg #酒店客房管理系统 #Buck #NVIDIA #交错并联 #DGX #数字营销 #seo #本地部署 #vLLM #ISP Pipeline #行缓冲 #stl #DS随心转 #google #search #钉钉 #visual studio code #postman #easyui #sqlmap #零售 #大模型面试 #数字化转型 #实体经济 #中小企业 #商业模式 #软件开发 #青蓝送水模式 #创业干货 #健康医疗 #金融 #教育电商 #媒体 #prompt #Android #Bluedroid #macos #rpc #protobuf #具身智能 #发展心理学 #运动控制 #内在动机 #镜像神经元 #交叉学科 #企业架构治理 #电力企业IT架构 #IT架构设计 #SEO #广播 #组播 #并发服务器 #arm开发 #wps #思维模型 #认知框架 #认知 #智能家居 #powerpoint #Com #模型微调 #数据仓库 #wsl #L2C #勒让德到切比雪夫 #GNC #控制 #姿轨控 #游戏美术 #技术美术 #游戏策划 #游戏程序 #用户体验 #逻辑回归 #laravel #cnn #信号处理 #目标跟踪 #dreamweaver #打卡 #计算机英语翻译 #mmap #nio #bash #车辆排放 #mybatis #后端 #math #homework #自动驾驶 #openresty #lua #googlecloud #MapGIS #云服务 #云门户 #IGServer #七年级上册数学 #有理数 #有理数的加法法则 #绝对值 #LangGraph #肿瘤相关巨噬细胞 #CXCL5 #信号通路 #胃癌 #mTOR #乐备实 #labex #SQL #编辑器 #敏捷流程 #typescript #AI大模型应用开发 #语义检索 #文本向量化 #GTE-Pro #企业AI #电商 #计算机现代史 #IPMI #OBC #Modbus-TCP #MIMO #OFDM #技术原理 #通信算法 #智慧校园一体化平台 #智慧校园管理系统 #合肥自友科技-智慧校园 #智慧校园源头厂家 #智慧校园软件供应商 #智慧校园平台服务商 #高性价比智慧校园系统 #阻塞队列 #生产者消费者模型 #服务器崩坏原因 # Triton # 高并发 #DisM++ # 系统维护 #测试覆盖率 #可用性测试 #智能体从0到1 #新手入门 #SAM3 #clawdbot #QQbot #QQ #labview #集成测试 #IndexTTS2 # 阿里云安骑士 # 木马查杀 #AI产品经理 #大模型开发 #银河麒麟 #人大金仓 #Kingbase #rust #语音识别 #统信UOS #搜狗输入法 #国产化 #企业级存储 #网络设备 #Java面试 #Java程序员 #后端开发 #Redis #分布式锁 #爱心代码 #表白代码 #爱心 #tkinter #情人节表白代码 #测评 #tcp/ip #智能路由器 #osg #oracle #海外服务器安装宝塔面板 #sglang #usb #通信协议 #YOLO26 #YOLO11 #软件构建 #设计规范 #放大电路 #abtest #CNAS #CMA #程序文件 #echarts ##程序员和算法的浪漫 #Playbook #AI服务器 #list #智能路由器 #tomcat #fastmcp #漏洞 #数据安全 #注入漏洞 #语义搜索 #嵌入模型 #Qwen3 #AI推理 #AI运维 #Clawdbot #企业微信集成 #DevOps自动化 #全栈 #pipeline #Transformers #NLP #js逆向 #逆向 #混淆 #命令模式 #sqlserver #ZeroTermux #宝塔面板 #移动服务器 #Linux环境 #其他 #SEO优化 #android-studio #android studio #android runtime #Springboot3.0 #状态模式 #RAID #磁盘 #系统管理 #服务 #多线程 #数组 #性能调优策略 #双锁实现细节 #动态分配节点内存 #r-tree #蓝耘智算 #vue3 #天地图 #403 Forbidden #天地图403错误 #服务器403问题 #天地图API #部署报错 #gpu算力 #考研 #GB/T4857 #GB/T4857.17 #GB/T4857测试 #CCE #Dify-LLM #Flexus #Moltbook #Cpolar #国庆假期 #服务器告警 #.net #图像分类 #图像分割 #yolo26算法 #6G #太赫兹 #无线通信 #频谱 #无线 #SSH代理转发 #Miniconda #远程开发 #KMP #spine #求职招聘 #copilot #旅游推荐管理系统 #旅游攻略 #bootstrap #中间件 #twitter #svm #amdgpu #kfd #ROCm #可信计算技术 #Java #Spring #Spring Boot #算法笔记 #Smokeping #梁辰兴 #传输连接管理 #计算机网络基础 #react native #elasticsearch #版本控制 #Git入门 #开发工具 #代码托管 #智能手机 #JavaScript #微PE #硬盘克隆 #DiskGenius #sql注入 #麒麟 #银河麒麟操作系统 #信创 #SSH保活 #everything #Deepseek #gpt-3 #漏洞挖掘 #Exchange #esp32 arduino #提词器 #芦笋提词器 #risc-v #安全威胁分析 #vue #图书馆 #自习室 #eureka #百度 #百度文库 #爱企查 #旋转验证码 #验证码识别 #图像识别 #迁移重构 #代码迁移 #企业存储 #RustFS #对象存储 #高可用 #聚类 #就业 #STL #string #笔试 #firefox #TURN # WebRTC # HiChatBox #synchronized #锁 #reentrantlock #DHCP #材料工程 #数码相机 #智能电视 #adb #windbg分析蓝屏教程 #贪心算法 #Tetrazine-Acid #1380500-92-4 #运营 #KMS 激活 #阳台种菜 #园艺手扎 #Gemini #Nano Banana Pro #vnstat #监控 #html5 #WT-2026-0001 #QVD-2026-4572 #smartermail #fpga开发 #Moltbot #算法备案 #结构体 #源代码管理 #跳槽 #业界资讯 #ai编程 #asp.net #京东云 #私域运营 #流量运营 #扩展屏应用开发 #window10 #window11 #病毒 #DCOM进程 #系统进程资源占用高 #研发管理 #禅道 #禅道云端部署 #计算几何 #斜率 #方向归一化 #叉积 #CPU #omv8 #树莓派 #nas # 双因素认证 #春秋云境 #CVE-2020-5515 #Docker #Streamlit #Qwen #AI聊天机器人 #数据集 #并发 #企业微信机器人 #本地大模型 #网络攻击模型 #隐私合规 #网络安全保险 #法律风险 #风险管理 #数据采集 #汇编 #tensorflow #制造 #单例模式 #ipmitool #BMC #娱乐 #容斥原理 #embedding #社交智慧 #职场生存 #系统思维 #身体管理 #商务宴请 #拒绝油腻 #清醒日常 #建站 #WIN32汇编 #grafana #openvino #手机检测 #课堂手机检测 #文本生成 #AI助手 #幼儿园 #园长 #幼教 #汇智网盘系统 #企业级云存储 #智能协作 #epoll #余行补位 #意义对谈 #余行论 #领导者定义计划 #智能合约 # IndexTTS 2.0 # 自动化运维 #超算中心 #PBS #lsf #intellij-idea #database #idea #rabbitmq #反向代理 #儿童AI #图像生成 #Keycloak #Quarkus #AI编程需求分析 #智慧社区 #管理系统 #wordpress #雨云 #守护进程 #复用 #screen #apache #带宽 #流量 #大带宽 #n8n解惑 #若依 #quartz #框架 #鸿蒙系统 #车载系统 #SSH Agent Forwarding # PyTorch # 容器化 #用户运营 #windows11 #系统修复 #homelab #Lattepanda #Jellyfin #Plex #Emby #Kodi #Ubuntu #Steam #饥荒联机版 #iphone #监测 #ShaderGraph #图形 #Taiji #TCP服务器 #语音控制 #高考 #高品质会员管理系统 #收银系统 #同城配送 #最好用的电商系统 #最好用的系统 #推荐的前十系统 #JAVA PHP 小程序 #以太网温湿度气体多参量传感器 #以太网多合一传感器 #以太网环境监测终端 #可定制气体监测模组 #戴尔服务器 #戴尔730 #装系统 #junit #KMS激活 # CUDA #clickhouse #文字检测 #Chat平台 #ARM架构 #.netcore #部署 #gpio #排序算法 #sentinel #proc # GLM-4.6V-Flash-WEB # AI部署 #CUDA #Triton #DooTask #cocoa #Fun-ASR # 语音识别 # WebUI #I/O #Lenyiin #LoRA # RTX 3090 # lora-scripts #jupyter #SIP服务器 #语音服务器 #VoIP #SIP协议 #nmodbus4类库使用教程 #vision pro #todesk #运维开发 #测试流程 #金融项目实战 #P2P #门禁 #读卡器 #梯控 #门禁一卡通 #门禁读卡器 #梯控读卡器 #IC卡读卡器 #启发式算法 #智能化测试 #质量效能 #skills #playwright #持续测试 #职业和发展 #未加引号服务路径 #webrtc #http头信息 #泛型 #接口 #抽象类 #面向对象设计 #2026AI元年 #年度趋势 #Kylin-Server #国产操作系统 #服务器安装 #muduo #EventLoop #azure #eclipse #投标 #标书制作 #前端界面 #mvc #asp.net大文件上传 #asp.net大文件上传下载 #asp.net大文件上传源码 #ASP.NET断点续传 #插入排序 #收银台开源 #收银台接口 #东方仙盟 #仙盟创梦IDE #商业开源 #bond #服务器链路聚合 #网卡绑定 #AI-native #dba #交互 #vivado license #2026美国大学生数学建模 #2026美赛 #美赛ICM #美赛ICM Problem F #ICM赛题F #MATLAB #claude #ajax #winscp #AI电商客服 #HeyGem # 数字人系统 # 远程部署 #银河麒麟部署 #银河麒麟部署文档 #银河麒麟linux #银河麒麟linux部署教程 #5G #连接数据库报错 #动态规划 #memcache #uv #铬锐特 #uv胶 #紫外线胶水 #光固化胶水 #胶粘剂 #RustDesk # 黑屏模式 # TTS服务器 #openssh #华为交换机 #信创终端 #mariadb #公共MQTT服务器 #IndexTTS 2.0 #本地化部署 #在线培训系统 #RPA #影刀RPA #AutoDL使用教程 #AI大模型训练 #linux常用命令 #PaddleOCR训练 #paddleocr #非标机械设计 #生信 #xeon #pencil #pencil.dev #设计 #模板和元编程 #大模型应用 #API调用 #PyInstaller打包运行 #服务端部署 #cpu #数模美赛 #GESP4级 #GESP四级 #sort #滑动窗口 #字符串 #电气工程 #C# #全链路优化 #实战教程 #毕设代做 #课设 #Java生成PDF #Freemarker转PDF #PDFBox转图片 #HTML转PDF乱码解决 #n8n #AI生成 # outputs目录 # 自动化 #openEuler #ocr #lprnet #车牌识别 #crnn #车牌检测 #智能体来了 # 显卡驱动备份 #Claude #视频去字幕 #cursor #uvicorn #uvloop #asgi #event #聊天小程序 #信令服务器 #Janus #MediaSoup #gpt #TensorRT # 推理优化 #kong #Kong Audio #Kong Audio3 #KongAudio3 #空音3 #空音 #中国民乐 #三维 #3D #三维重建 #Jetty # CosyVoice3 # 嵌入式服务器 #全排列 #回溯 #剪枝 #STJ算法 #CVE-2025-61686 #路径遍历高危漏洞 #Llama-Factory # 大模型推理 #我的世界服务器搭建 #minecraft #OpenAI #故障 #优化 # 服务器IP # 端口7860 #建筑缺陷 #红外 #双指针 #需求分析 # GPU租赁 # 自建服务器 #考试系统 #在线考试 #培训考试 #考试练习 #V11 #kylinos #MinIO服务器启动与配置详解 #代理 #CSDN #轻量大模型 #遛狗 #LED #设备树 #GPIO #流媒体 #NAS #飞牛NAS #NVR #EasyNVR #SSH复用 # Miniconda # 远程开发 #机器视觉 #6D位姿 #mssql #长文本理解 #glm-4 #推理部署 #Cesium #交互设计 #智能避障 #GATT服务器 #蓝牙低功耗 #AB包 #m3u8 #HLS #移动端H5网页 #APP安卓苹果ios #监控画面 直播视频流 #Tracker 服务器 #响应最快 #torrent 下载 #2026年 #Aria2 可用 #迅雷可用 #BT工具通用 #kmeans #vuejs #昇腾300I DUO #seata #TC/TM/RM #Puppet # IndexTTS2 # TTS #x-cmd #doubao #kimi #zhipu #claude-code #摩尔线程 # 远程连接 #gerrit #直流无刷电机 #六步换相 #vp9 #C语言 #标准IO #函数接口 #小白 #一人公司 #独立开发者 #sqlite #r语言-4.2.1 #r语言 #语言 #系统升级 #指针 #anaconda #虚拟环境 #GB28181 #SIP信令 #SpringBoot #视频监控 #ModelEngine #ueditor导入word #ueditor导入pdf #编程助手 #Gunicorn #WSGI #Flask #并发模型 #容器化 #Python #性能调优 #大模型呼叫 #外呼系统 #AI外呼 #外呼系统推荐 #智能客服 #外呼 #ceph #ambari #GitPuk #国产开源免费代码管理工具 #Arbess #cicd工具 #一文上手 #muduo库 #1024程序员节 #平板 #交通物流 #智能硬件 #时间复杂度 #空间复杂度 # IndexTTS # GPU集群 #国产化OS #SSH跳转 #GPU服务器 #IO #weston #x11 #x11显示服务器 #nodejs #AI论文写作工具 #学术论文创作 #论文效率提升 #MBA论文写作 #RSO #机器人操作系统 #CVE-2025-68143 #CVE-2025-68144 #CVE-2025-68145 #旅游 #编程语言 #powerbi #ONLYOFFICE #MCP 服务器 #esb接口 #走处理类报异常 #bug菌问答团队 #nacos #STUN # TURN # NAT穿透 #8U #硬件架构 #zygote #应用进程 #NPU #CANN #RAID技术 #存储 #Node.js #漏洞检测 #CVE-2025-27210 #ROS # 局域网访问 # 批量处理 #can #DIY机器人工房 #claude code #codex #code cli #ccusage #PyTorch 特性 #动态计算图 #张量(Tensor) #自动求导Autograd #GPU 加速 #生态系统与社区支持 #与其他框架的对比 # 树莓派 # ARM架构 #Discord机器人 #云部署 #程序那些事 #mybatis #Ascend #MindIE #静脉曲张 #腿部健康 #web3.py #spring native #llm #领域驱动 #电路仿真 #proteus #AD #keil #硬件工程师面试 # OTA升级 # 黄山派 #pytest #笔记本电脑 #串口服务器 #工业级串口服务器 #串口转以太网 #串口设备联网通讯模块 #串口服务器选型 #blender #设计师 #图像处理 #分布式数据库 #集中式数据库 #业务需求 #选型误 #web3 #debian #防火墙 #Tokio #异步编程 #系统编程 #Pin #http服务器 #架构设计 #TcpServer #accept #高并发服务器 #pve #多进程 #python技巧 #Zernike #hcipy #光学设计 #像差仿真 #SEW #赛威 #SEW变频器 #zotero #WebDAV #同步失败 #代理模式 #里氏替换原则 #科普 #JT/T808 #车联网 #车载终端 #模拟器 #仿真器 #开发测试 #mapreduce #政务 #AI赋能盾构隧道巡检 #开启基建安全新篇章 #以注意力为核心 #YOLOv12 #AI隧道盾构场景 #盾构管壁缺陷病害异常检测预警 #隧道病害缺陷检测 #卷积神经网络 #参数估计 #矩估计 #概率论 #LE Audio #BAP #HistoryServer #Spark #YARN #jobhistory #sizeof和strlen区别 #sizeof #strlen #计算数据类型字节数 #计算字符串长度 #可再生能源 #绿色算力 #风电 #LabVIEW知识 #LabVIEW程序 #LabVIEW功能 #IT #技术 #决策树 #内存接口 # 澜起科技 # 服务器主板 #安全性测试 #rustdesk #简单数论 #埃氏筛法 #Spring AI #AI Agent #开发者工具 #clamav #标准化事件委托 #工序流程工艺路径 #业务流程标准化 #api #key #AI作画 #yolov12 #研究生life #gpu #nvcc #cuda #nvidia #文生视频 #CogVideoX #AI部署 #计算机外设 #sklearn #zabbix #榛樿鍒嗙被 #模块 #RXT4090显卡 #RTX4090 #深度学习服务器 #硬件选型 #行为模式分析 #数据 #应用层 #跨领域 #敏感信息 #IntelliJ IDEA #树莓派4b安装系统 #yolo #RTSP #Live555 #流媒体服务器 #scala #强化学习 #策略梯度 #REINFORCE #蒙特卡洛 #测试网 #erc-20 #独立链 #polkadot #健身房预约系统 #健身房管理系统 #健身管理系统 #算力一体机 #ai算力服务器 #ThingsBoard MCP # 公钥认证 # 服务器IP访问 # 端口映射 #邮箱 #postfix #dovecot #高级IO #JAVA #C₃₂H₄₅N₇O₁₁S₂ #EDCA OS #可控AI #学工管理系统 #学工一体化平台 #学工软件二次开发 #学工平台定制开发 #学工系统服务商 #学工系统源头厂家 #智慧校园学工系统 #几何学 #拓扑学 #AirDrop #硬件 #密码 #Highcharts #插件封装 #docker-compose #fiddler #UEFI #BIOS #Legacy BIOS #1panel #vmware #python学习路线 #python基础 #python进阶 #python标准库 #ICPC #paddlepaddle #opc ua #opc # 环境迁移 #LVDS #高速ADC #DDR # GLM-TTS # 数据安全 #IPMB #远程管理 #xshell #host key #TTS私有化 # 音色克隆 #支付 #dash #捷配 #pcb工艺 #贝叶斯优化深度学习 #ip #区间dp #二进制枚举 #图论 #markdown #智能一卡通 #消费一卡通 #智能梯控 #一卡通 #超时设置 #客户端/服务器 #网络编程 #runtmie #金融投资Agent #改行学it #Coze工作流 #AI Agent指挥官 #多智能体系统 #回归 #智能制造 #供应链管理 #工业工程 #域名注册 #新媒体运营 #网站建设 #国外域名 #HBA卡 #RAID卡 #uniapp #合法域名校验出错 #服务器域名配置不生效 #request域名配置 #已经配置好了但还是报错 #uniapp微信小程序 #IO编程 #ida #HTML #web前端 #网页开发 #面试宝典 #glibc #Anaconda配置云虚拟环境 #MQTT协议 #智慧城市 #comfyui #MCP服务器注解 #异步支持 #方法筛选 #声明式编程 #自动筛选机制 #数据可视化 #连锁门店核销 #美团团购券核销 #美团核销api #saas平台美团核销 #java接入美团团购 #网路编程 #百万并发 #rtmp #hdfs #江协 #瑞萨 #OLED屏幕移植 #p2p #unity3d #服务器框架 #Fantasy #H5 #跨域 #发布上线后跨域报错 #请求接口跨域问题解决 #跨域请求代理配置 #request浏览器跨域 #进程创建与终止 #React #Next #CVE-2025-55182 #RSC #DNS #SSH免密登录 #C2000 #TI #实时控制MCU #AI服务器电源 #远程访问 #远程办公 #飞网 #安全高效 #配置简单 #快递盒检测检测系统 #游戏机 #JumpServer #UDP的API使用 #文件IO #输入输出流 #麒麟OS #hibernate #逆向工程 #GEO服务 #tcpdump #ngrok #振镜 #振镜焊接 #ms-swift # 大模型 # 模型训练 #网络配置实战 #Web/FTP 服务访问 #计算机网络实验 #外网访问内网服务器 #Cisco 路由器配置 #静态端口映射 #网络运维 #claudeCode #content7 #水性三防漆 #UV三防漆 #有机硅三防漆 #聚氨酯三防漆 #醇酸树脂三防漆 #丙烯酸三防漆 # 目标检测 #chat #iot #STDIO协议 #Streamable-HTTP #McpTool注解 #服务器能力 #AutoDL #租显卡 #训练推理 #galeweather.cn #高精度天气预报数据 #光伏功率预测 #风电功率预测 #高精度气象 ##python学习笔记 #python中with语句详解 #Modbus # 串口服务器 # NPort5630 #OSS #CDN #最佳实践 #Python办公自动化 #Python办公 #实时音视频 #Dify #轻量化 #低配服务器 #Anything-LLM #IDC服务器 #工具集 #UDP套接字编程 #UDP协议 #网络测试 #SRS #直播 #BIOS中断 #OpenHarmony #milvus #知识库 #知识 #journalctl #论文复现 #YOLOFuse # 水冷服务器 # 风冷服务器 #ArkUI #ArkTS #鸿蒙开发 #大学生 #鼠大侠网络验证系统源码 #LobeChat #GPU加速 #js #910B #Nacos #AI技术 #数据迁移 #翻译 #开源工具 #原型模式 #空间计算 #ZooKeeper #ZooKeeper面试题 #深入解析 #Kuikly #openharmony #openlayers #bmap #tile #server #elk #系统安装 #Hadoop #客户端 #运动 #CosyVoice3 # 语音合成 #reactor反应堆 #SSH反向隧道 # Jupyter远程访问 #xlwings #Excel #模拟退火算法 #虚拟机 #dlms #dlms协议 #逻辑设备 #逻辑设置间权限 #文件传输 #电脑文件传输 #电脑传输文件 #电脑怎么传输文件到另一台电脑 #电脑传输文件到另一台电脑 #flume #全文检索 #银河麒麟aarch64 #文件管理 #文件服务器 #零代码平台 #AI开发 #UDP #pandas #路由器 #RIP #结构体与联合体 #mamba #程序员转型 #凤希AI伴侣 #esp32教程 #群晖 #音乐 #neo4j #NoSQL #环境搭建 #scanf #printf #getchar #putchar #cin #cout #AI应用 #动画 #ipv6 #deepseek #VibeVoice # 云服务器 #Spring源码 #流量监控 #SMP(软件制作平台) #EOM(企业经营模型) #应用系统 #数据访问 #408 #线索二叉树 #熵权法 #灰色关联分析 #arm64 #ue4 #DedicatedServer #独立服务器 #专用服务器 #MC #自动化运维 #学术写作辅助 #论文创作效率提升 #AI写论文实测 #建造者模式 #UOS #海光K100 #统信 #链表的销毁 #链表的排序 #链表倒置 #判断链表是否有环 #MOXA #宠物 # 一锤定音 # 大模型微调 #黑客技术 #挖漏洞 #日志分析 #二值化 #Canny边缘检测 #轮廓检测 #透视变换 #多接口并发 #首页优化 #SSH公钥认证 # 安全加固 #防毒面罩 #防尘面罩 #cpp #集成学习 #EMC存储 #存储维护 #NetApp存储 #人脸识别 #人脸核身 #活体检测 #身份认证与人脸对比 #微信公众号 #React安全 #漏洞分析 #Next.js #反序列化漏洞 #eBPF #vlookup #Socket #灌封胶 #有机硅灌封胶 #聚氨酯灌封胶 #环氧树脂灌封胶 #电子灌封胶 #c++20 #Qwen3-14B # 大模型部署 # 私有化AI #IFix #Cubase #Cubase15 #Cubase14 #Cubase12 #Cubase13 #Cubase 15 Pro #Cubase 14 Pro #智慧校园解决方案 #智慧校园选型 #智慧校园采购 #智慧校园软件 #智慧校园专项资金 #智慧校园定制开发 #模型上下文协议 #MultiServerMCPC #load_mcp_tools #load_mcp_prompt #unix #攻防演练 #Java web #红队 #webgl #asp.net上传文件夹 #SSH别名 #screen 命令 #CPU推理 #黑群晖 #无U盘 #纯小白 #VMware Workstation16 #服务器操作系统 #screen命令 #ping通服务器 #读不了内网数据库 ##租显卡 # 远程访问 # 服务器IP配置 #蓝湖 #Axure原型发布 #创业管理 #财务管理 #团队协作 #创始人必修课 #数字化决策 #经营管理 #Android16 #音频性能实战 #音频进阶 #pygame #挖矿 #Linux病毒 #wireshark #SAP #ebs #metaerp #oracle ebs #H5网页 #网页白屏 #H5页面空白 #资源加载问题 #打包部署后网页打不开 #HBuilderX # AI翻译机 # 实时翻译 #TTS #随机森林 #boosting #K8s #镜像 #集群自动化 #框架搭建 #题解 #图 #dijkstra #迪杰斯特拉 #华为机试 #VS Code调试配置 #Deepoc #具身模型 #开发板 #未来 #昇腾 # 批量管理 #实时检测 #tdengine #涛思数据 #海外短剧 #海外短剧app开发 #海外短剧系统开发 #短剧APP #短剧APP开发 #短剧系统开发 #海外短剧项目 #证书 #练习 #基础练习 #循环 #九九乘法表 #计算机实现 #SQL调优 #EXPLAIN #慢查询日志 #分布式架构 #工厂模式 #Proxmox VE #虚拟化 #后端框架 #JNI #晶振 #WinDbg #Windows调试 #内存转储分析 #西门子 #汇川 #Blazor #spring ai #oauth2 #log #EtherCAT #XMC4800 #工业自动化 #硬件设计 #OpenManage #夏天云 #夏天云数据 #free #vmstat #sar #浏览器自动化 #python #cascadeur #batch #springboot3 #springboot3升级 #Spring Batch #升级Spring Batch #人流量统计 #roi区域识别 #车辆识别 #运维工具 # Base64编码 # 多模态检测 #大剑师 #nodejs面试题 #经济学 #SPA #单页应用 #梯控一卡通 #电梯一卡通 #考勤一卡通 #服务器IO模型 #非阻塞轮询模型 #多任务并发模型 #异步信号模型 #多路复用模型 #远程桌面 #远程控制 #C #移动端h5网页 #调用浏览器摄像头并拍照 #开启摄像头权限 #拍照后查看与上传服务器端 #摄像头黑屏打不开问题 #内网 #rsync # 数据同步 #浏览器指纹 #高精度农业气象 #swagger #入侵 #日志排查 #RK3576 #瑞芯微 #雨云服务器 #Minecraft服务器 #教程 #MCSM面板 #Apple AI #Apple 人工智能 #FoundationModel #Summarize #SwiftUI #Spring AOP #一周会议与活动 #ICLR #CCF #工作 #懒汉式 #恶汉式 #gRPC #注册中心 #win11 #edge #迭代器模式 #观察者模式 #英语学习 # 服务器配置 # GPU #CLI #langgraph.json #AI工具 #贴图 #材质 #raid #raid阵列 #YOLO识别 #YOLO环境搭建Windows #YOLO环境搭建Ubuntu #bigtop #hdp #hue #kerberos #欧拉 #工程设计 #预混 #扩散 #燃烧知识 #层流 #湍流 #WinSCP 下载安装教程 #SFTP #FTP工具 #服务器文件传输 #docker安装seata #个人博客 # 键鼠锁定 #agentic bi #Autodl私有云 #深度服务器配置 #VoxCPM-1.5-TTS # 云端GPU # PyCharm宕机 #手机h5网页浏览器 #安卓app #苹果ios APP #手机电脑开启摄像头并排查 #音乐分类 #音频分析 #ViT模型 #Gradio应用 #生产服务器问题查询 #日志过滤 #嵌入式编译 #ccache #distcc #rdp #cocos2d #图形渲染 #人脸识别sdk #视频编解码 #测速 #iperf #iperf3 #学术生涯规划 #CCF目录 #基金申请 #职称评定 #论文发表 #科研评价 #顶会顶刊 #漏洞修复 #IIS Crypto #ARM64 # DDColor # ComfyUI #C/C++ #静态链接 #链接 #大模型部署 #mindie #ComfyUI # 推理服务器 #express #cherry studio #libosinfo #puppeteer #godot #KMS #slmgr #宝塔面板部署RustDesk #RustDesk远程控制手机 #手机远程控制 #期刊 #SCI #GLM-4.6V-Flash-WEB # AI视觉 # 本地部署 #Fluentd #Sonic #日志采集 #面向对象 #taro #AI应用编程 #Docsify #技术博客 #nfs #iscsi #性能 #RAM #外卖配送 #x86_64 #数字人系统 # 服务器迁移 # 回滚方案 #系统降级 #华为P30 #restful #YOLOv8 # Docker镜像 #rtsp #转发 #范式 #Karalon #AI Test #ET模式 #非阻塞 #gnu #remote-ssh #SA-PEKS # 关键词猜测攻击 # 盲签名 # 限速机制 #模版 #函数 #类 #鲲鹏 #Coturn #WEB #CMake #Make #格式工厂 #千问 #SMARC #ARM #工程实践 #毕设定制 # 代理转发 #idm # 高并发部署 # 智能运维 # 性能瓶颈分析 #devops #vps #web服务器 #排序 #vrrp #脑裂 #keepalived主备 #高可用主备都持有VIP #软件需求 #simulink #寄存器 #gateway #Comate #aiohttp #asyncio #异步 #I/O模型 #水平触发、边缘触发 #多路复用 #软件 #本地生活 #电商系统 #商城 #项目申报系统 #项目申报管理 #项目申报 #企业项目申报 #AI教材写作工具 #AI创作技术 #教材编写实战 #创作效率优化 #北京百思可瑞教育 #百思可瑞教育 #北京百思教育 #AI零代码开发 #敏捷开发 #自然语言编程 #软件开发范式变革 #信奥赛 #提高组 #csp-s #初赛 #真题 #webpack #FunASR #语音转文字 #C++ UA Server #SDK #Windows #跨平台开发 #传统行业 #AI赋能 #青少年编程 #二维数组 #Aluminium #Google #昭和仙君 #lucene #Shiro #CVE-2016-4437 #b树 #传统服饰销售平台 #2025年 # ControlMaster #safari #联机教程 #局域网联机 #局域网联机教程 #局域网游戏 #memory mcp #Cursor #视觉检测 #身体实验室 #健康认知重构 #微行动 #NEAT效应 #亚健康自救 #ICT人 #npm #asp.net上传大文件 #VPS #搭建 #土地承包延包 #领码SPARK #aPaaS+iPaaS #智能审核 #档案数字化 #代码规范 #CS2 #debian13 #SSH跳板机 # Python3.11 #turn #ICE #信创国产化 #达梦数据库 #API限流 # 频率限制 # 令牌桶算法 #国产PLM #瑞华丽PLM #瑞华丽 #PLM #网站 #截图工具 #批量处理图片 #图片格式转换 #图片裁剪 #温湿度监控 #WhatsApp通知 #IoT #MySQL #视频 #MS #Materials #顶刊 #绘图 #研究生 #X11转发 #xml #可撤销IBE #服务器辅助 #私钥更新 #安全性证明 #双线性Diffie-Hellman #短剧 #短剧小程序 #短剧系统 #微剧 #OWASP #juice-shop #安全漏洞练习靶场 #渗透测试 #网安应急响应 #管道Pipe #system V #SMTP # 内容安全 # Qwen3Guard #系统故障 #硬盘修复 #RGFNet多模态目标检测 #可见光-红外图像融合目标检测 #TGRS 2025顶刊论文 #YOLO多模态创新改进 #YOLO多模态融合属于发文热点 #uvx #uv pip #npx #Ruff #DDD #tdd #Gateway #认证服务器集成详解 #FHSS #服务器开启 TLS v1.2 #IISCrypto 使用教程 #TLS 协议配置 #IIS 安全设置 #服务器运维工具 #心理健康服务平台 #心理健康系统 #心理服务平台 #心理健康小程序 # 远程运维 # GPU服务器 # tmux #插件 #套接字 #I/O多路复用 #字节序 #DAG #TFTP #mtgsig #美团医药 #美团医药mtgsig #美团医药mtgsig1.2 #性能测试 #LoadRunner #N8N #dynadot #域名 #HarmonyOS APP #pxe #smtp #smtp服务器 #PHP #intellij idea #声源定位 #MUSIC #MinIO #AI视频创作系统 #AI视频创作 #AI创作系统 #AI视频生成 #AI创作工具 #fs7TF #xcode #华为od机试 #华为od机考 #华为od最新上机考试题库 #华为OD题库 #od机考题库 #AI+ #coze #AI入门 #计组 #数电 #cosmic #运维 #Python3.11 #AI 推理 #NV #npu #上下文工程 #langgraph #意图识别 #ansys #ansys问题解决办法 # 网络延迟 #ranger #MySQL8.0 #win10 #qemu #远程软件 #reactjs #STDIO传输 #SSE传输 #WebMVC #WebFlux #处理器 #MOSFET #晶圆制造 #芯片制造 #vertx #vert.x #vertx4 #runOnContext #传感器 #MicroPython # Connection refused #WRF #WRFDA #teamviewer #HarmonyOS #RS232 #RS485 #RS422 #机器人学习 # IP配置 # 0.0.0.0 #Socket网络编程 #0day漏洞 #DDoS攻击 #漏洞排查 #视觉理解 #Moondream2 #多模态AI #美食 #YOLOv13多模态创新改进 #YOLO多模态融合检测改进 #ICCV 2025多模态顶会 #LIF 局部光照感知融合模块 #效融合 RGB 与红外信息 #可见光与红外图像融合目标检测 #istio #服务发现 #大数据分析 #web server #请求处理流程 #ftp #sftp #勒索病毒 #勒索软件 #加密算法 #.bixi勒索病毒 #数据加密 #OPCUA #CA证书 #主板 #电源 # 轻量化镜像 # 边缘计算 #Host #SSRF # 批量部署 #星际航行 #Langchain-Chatchat # 国产化服务器 # 信创 #opc模拟服务器 #ArcGIS #批量操作 #地理空间分析 #PN 结 #服务器线程 # SSL通信 # 动态结构体 #报表制作 #职场 #用数据讲故事 #语音生成 #Syslog #系统日志 #日志监控 # ms-swift #个人助理 #数字员工 #CTF #SQL注入 #WAF绕过 #canvas层级太高 #canvas遮挡问题 #盖住其他元素 #苹果ios手机 #安卓手机 #调整画布层级 #节日 #ESP32编译服务器 #Ping #DNS域名解析 #麦克风权限 #访问麦克风并录制音频 #麦克风录制音频后在线播放 #用户拒绝访问麦克风权限怎么办 #uniapp 安卓 苹果ios #将音频保存本地或上传服务器 #moltbot #铁路桥梁 #DIC技术 #箱梁试验 #裂纹监测 #四点弯曲 # REST API #游戏服务器断线 # keep-alive #闲置物品交易系统 #地理 #遥感 #IPv6 #Minecraft #PaperMC #我的世界服务器 #前端开发 #EN4FE #Archcraft #自由表达演说平台 #演说 #开关电源 #热敏电阻 #PTC热敏电阻 #解释器模式 #国产开源制品管理工具 #Hadess #对话框 #Dialog #桌面开发 #MessageDialog #QInputDialog #人脸活体检测 #live-pusher #动作引导 #张嘴眨眼摇头 #苹果ios安卓完美兼容 #glances #标准化流模型 #概率生成模型 #可逆变换 #概率密度变换 #知识点 #多模态 #微调 #超参 #LLamafactory #万悟 #联通元景 #bug #duckdb # 硬件配置 #API #阿里云RDS #coffeescript #Unity #游戏服务器 #tornado #H3C #磁盘配额 #存储管理 #形考作业 #国家开放大学 #系统运维 #攻击溯源 #编程 #warp #数智红包 #商业变革 #Prometheus #nosql #Zabbix #语音合成 #tekton #FASTMCP #因果学习 #数据库架构 #网络 #Go并发 #高并发架构 #Goroutine #系统设计 #net core #kestrel #web-server #asp.net-core #隐函数 #常微分方程 #偏微分方程 #线性微分方程 #线性方程组 #非线性方程组 #复变函数 #交换机 #三层交换机 #高斯溅射 #爬虫实战 #零基础python爬虫教学 #双色球历史开奖数据 #期号红球篮球开奖日期等 #结构化CSV存储 #说话人验证 #声纹识别 #CAM++ #云开发 #AI智能棋盘 #Rock Pi S #MC群组服务器 #LangGraph 1.0 #企业级部署 #Kubernetes集群 #生产环境 #BoringSSL #云计算运维 #递归 #线性dp #PTP_1588 #gPTP #农产品物流管理 #物流管理系统 #农产品物流系统 #农产品物流 #c++高并发 # ARM服务器 # 鲲鹏 #4U8卡 AI 服务器 ##AI 服务器选型指南 #GPU 互联 #GPU算力 #VSCode # SSH #uip #k8s #进程等待 #wait #waitpid #奈飞工厂算法挑战赛 # 离线AI #开发实战 #银河麒麟服务器系统 #结构与算法 #机器人运动学 #PyKDL # GLM # 服务连通性 #文件上传漏洞 #数据恢复 #视频恢复 #视频修复 #RAID5恢复 #流媒体服务器恢复 #A2A #GenAI #TLS协议 #HTTPS #运维安全 #idc #MCP SDK #esp32 #mosquito #持续部署 #机器翻译 #程序开发 #服务器解析漏洞 #云服务器选购 #Saas #samba #NFC #智能公交 #服务器计费 #FP-增长 #llvm #ASR #SenseVoice #outlook #错误代码2603 #无网络连接 #2603 #效率神器 #办公技巧 #自动化工具 #Windows技巧 #打工人必备 #ClaudeCode #AICoder #人工智能编码助手 #SSH密钥 #数字孪生 #三维可视化 # Qwen3Guard-Gen-8B #ETL管道 #向量存储 #数据预处理 #DocumentReader #AI写作工具 #教材编写效率提升 #AI教材编写 #教材编写难题解决 #教育领域AI应用 #cmmi #结对编程 # 高温监控 #力扣 #前缀和 #远程桌面协议 #SPICE #resnet50 #分类识别训练 #保姆级教程 #电机正反转 #TMC2240 #DIR引脚控制 #Xshell #Finalshell #生物信息学 #组学 #Spire.Office #ServBay #开题报告 #代理服务器 #Matrox MIL #二次开发 #CMC #智能体对传统行业冲击 #行业转型 #TCP/IP #嵌入式开发 # DIY主机 # 交叉编译 #odoo #c #分享 #PS #photoshop #appche #CS336 #Assignment #Experiments #TinyStories #Ablation #bochs #SpringSecurity #鉴权 #量子计算 #ARMv8 #内存模型 #内存屏障 #RWK35xx #语音流 #实时传输 #node #AE #protobuffer #结构化数据序列化机制 #车载嵌入式 #Zigzag #AITechLab #cpp-python #CUDA版本 #adobe #gmssh #宝塔 #基础语法 #标识符 #常量与变量 #数据类型 #运算符与表达式 #POC #问答 #交付 #anti-content #anti-content分析 #anti-content逆向 #Linly-Talker # 数字人 # 服务器稳定性 #总体设计 #电源树 #框图 #边缘AI # Kontron # SMARC-sAMX8 #okhttp #向量嵌入 #boltbot #ACID #多文档事务 #分布式事务 #小艺 #搜索 #SQL注入主机 #电子电气架构 #系统工程与系统架构的内涵 #Routine #Linux多线程 #cesium #可视化 #海量数据存储 #poll #信息收集 #Mycat # 模型微调 #grpc #Navidrome #个性化推荐 #BERT模型 #VMware创建虚拟机 #远程更新 #缓存更新 #多指令适配 #物料关联计划 #Qwen3-VL # 服务状态监控 # 视觉语言模型 #传媒 #个人电脑 #校园志愿者 #UDP服务器 #recvfrom函数 #思爱普 #SAP S/4HANA #ABAP #NetWeaver #CVE-2025-13878 #CWE-617 #远程攻击 #Termux #Samba #Ward #音诺ai翻译机 #AI翻译机 # Ampere Altra Max #测量 # 权限修复 #WAN2.2 #日志模块 #网络安全计划 #数字时代 #Proteus #UART #嵌入式系统 #统信操作系统 #人形机器人 #人机交互 #VMWare Tool #电梯 #电梯运力 #电梯门禁 #网络安全大赛 #NSP #下一状态预测 #aigc #算力建设 #库存管理 #RK3588 #RK3588J #评估板 #核心板 #redisson #状态空间 #AI工具集成 #容器化部署 #Tailscale #AI教程 #开关电源设计 #基金 #股票 #ossinsight #jquery # child_process #分子动力学 #化工仿真 #小智 #haproxy #Fast R-CNN #深度学习模型 #session #JADX-AI 插件 #K8s集群 #LangSmith #ssh登录 #starrocks #L6 #L10 #L9 #实例分割 #isic2016 #Helm Chart #Beidou #北斗 #SSR #composer #symfony #java-zookeeper #DuckDB #协议 #Arduino BLDC #核辐射区域探测机器人 #OpenCode #技能系统 #技能模板 #vncdotool #链接VNC服务器 #如何隐藏光标 #数据报系统 #FPGA #动态数码管 #Verilog HDL #计时 #DSL #解析器 #基于uni-app的 #校园二手物品交易系统 #fork函数 #进程创建 #进程终止 #机器狗 #AGV #AMR #机器人乘梯 #Typora #状态图 #甘特图 #类图 #时序/序列图 #实体关系ER图 #atlassian #UID9622 #notion #龍魂系统 #龍骨 #国学易经 #编译原理 #词法分析 #LLM大模型部署与微调